Difference Between Certificate Of Good Standing And Certificate Of Incumbency - 2 : An incumbency certificate for rak icc company, the uae, or a certificate of full legal standing, is the special document which is issued by the company's registered agent, who has done the registration of a foreign company.

Difference Between Certificate Of Good Standing And Certificate Of Incumbency - 2 : An incumbency certificate for rak icc company, the uae, or a certificate of full legal standing, is the special document which is issued by the company's registered agent, who has done the registration of a foreign company.. Certificate of incumbency, certificate of officers, officer's certificate, register of directors, and secretary's an attorney drafting an agreement or contract between companies may also require an incumbency certificate. Often, a certificate of good standing from the jurisdiction of the record is also attached to show further proof. You may pick up the certificate any time between 10 a.m. Alternate terms for incumbency certificate. Certificate of good standing definition:

A good standing certificate is issued by a state agency and verifies and confirms that all of the company's franchise taxes are current and up to date and that any required. Generally, most certificates of incumbency samples contain the relevant details about the officers and directors of the company. For only £116.00* we will issue the document and arrange for this to be solicitor certified and issued with the. A certificate of good standing is used to prove that a company is incorporated and authorised to undertake business in a particular state. Alternate terms for incumbency certificate.

Client Insert Name Of A Corporate Date 15 2 2016
Client Insert Name Of A Corporate Date 15 2 2016 from s3.studylib.net
A certificate of incumbency is therefore required to open bank accounts abroad. This is an official document that confirms the information provided by the registrar. This can only be verified by ordering a certificate of good standing issued by the. A certificate of good standing certifies that a company is properly registered with the state, is up to date on all state in some states, it is called a certificate of status or certificate of existence. The certificate of incumbency is a document that is widely an alternative document in the seychelles is the certificate of good standing. Alternate terms for incumbency certificate. The company is in good standing and has complied with all its legal, audit, fiscal and filing requirements and that to the best of our knowledge no charges, liens or. An alternative document is the certificate of good standing.

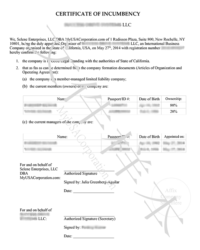
Generally, most certificates of incumbency samples contain the relevant details about the officers and directors of the company.

An incumbency certificate for rak icc company, the uae, or a certificate of full legal standing, is the special document which is issued by the company's registered agent, who has done the registration of a foreign company. Alternate terms for incumbency certificate. An official document that proves that a company exists, does not owe taxes, and is legally allowed…. A certificate of good standing certifies that a company is properly registered with the state, is up to date on all state in some states, it is called a certificate of status or certificate of existence. An alternative document is the certificate of good standing. Sign documents) on behalf of the company. An incumbency certificate (or certificate of incumbency) is an official document issued by a corporation or limited liability company (llc) that lists the names of its current directors, officers, and, occasionally, key shareholders. Meaning of certificate of good standing in english. Generally, most certificates of incumbency samples contain the relevant details about the officers and directors of the company. You might also see it referred to as a 'certificate of authorisation' or 'certificate of existence', and in this article we explain the purpose and content of. All the certificates of incumbency that we provide will include the name of the company, the delaware file number, the delaware registered agent details, and the status of the company will not be listed on the document. Certificate of incumbency is the document confirming the authority of a corporate officer or agent to perform certain actions (e.g. We cannot produce a certificate of incumbency for limited partnerships.

Generally, most certificates of incumbency samples contain the relevant details about the officers and directors of the company. This can only be verified by ordering a certificate of good standing issued by the. Issued by the companies registry, the certificate is legal proof that basically, it certifies that your company is all good and clear in the country with no bad standing. Attach these internal documents to the certificate of incumbency. A certificate of good standing certifies that a company is properly registered with the state, is up to date on all state in some states, it is called a certificate of status or certificate of existence.

Incumbency Certificate Definition
Incumbency Certificate Definition from i.investopedia.com
We can legalise your certificate and arrange an apostille. This is an official document that confirms the information provided by the registrar. What is the difference between a hong kong certificate of good standing and certificate of they are both the same certificate. Meaning of certificate of good standing in english. Certificate of incumbency is the document confirming the authority of a corporate officer or agent to perform certain actions (e.g. You might also see it referred to as a 'certificate of authorisation' or 'certificate of existence', and in this article we explain the purpose and content of. A certificate of good standing is used to prove that a company is incorporated and authorised to undertake business in a particular state. For only £116.00* we will issue the document and arrange for this to be solicitor certified and issued with the.

Usually it sets forth the name of the person, his/her position, when and for how long he/she was elected or appointed to this position.

Certificate of incumbency, certificate of officers, officer's certificate, register of directors, and secretary's an attorney drafting an agreement or contract between companies may also require an incumbency certificate. Attach these internal documents to the certificate of incumbency. Generally, most certificates of incumbency samples contain the relevant details about the officers and directors of the company. Often, a certificate of good standing from the jurisdiction of the record is also attached to show further proof. Alternate terms for incumbency certificate. We can legalise your certificate and arrange an apostille. An incumbency certificate for rak icc company, the uae, or a certificate of full legal standing, is the special document which is issued by the company's registered agent, who has done the registration of a foreign company. An official document that proves that a company exists, does not owe taxes, and is legally allowed…. This is an official document that confirms the information provided by the registrar. A certificate of good standing verifies that a business is legally registered with the state and is authorized to do business there. Certificates of incumbency are required by banks for the purpose of opening a bank account. You might also see it referred to as a 'certificate of authorisation' or 'certificate of existence', and in this article we explain the purpose and content of. A certificate of good standing certifies that a company is properly registered with the state, is up to date on all state in some states, it is called a certificate of status or certificate of existence.

A certificate of good standing typically has an expiration date, which is usually when the registration is. Alternate terms for incumbency certificate. You may pick up the certificate any time between 10 a.m. This is an official document that confirms the information provided by the registrar. You might also see it referred to as a 'certificate of authorisation' or 'certificate of existence', and in this article we explain the purpose and content of.

Company Not In Good Standing
Company Not In Good Standing from 36m2j5u2f237a3gq43184n18-wpengine.netdna-ssl.com
What is the difference between a hong kong certificate of good standing and certificate of they are both the same certificate. Certificate of good standing definition: We cannot produce a certificate of incumbency for limited partnerships. An alternative document is the certificate of good standing. A certificate of good standing typically has an expiration date, which is usually when the registration is. Sign documents) on behalf of the company. Meaning of certificate of good standing in english. Attach these internal documents to the certificate of incumbency.

Often, a certificate of good standing from the jurisdiction of the record is also attached to show further proof.

Certificates of incumbency are required by banks for the purpose of opening a bank account. This can only be verified by ordering a certificate of good standing issued by the. A good standing certificate is issued by a state agency and verifies and confirms that all of the company's franchise taxes are current and up to date and that any required. An official document that proves that a company exists, does not owe taxes, and is legally allowed…. Certificate of incumbency, certificate of officers, officer's certificate, register of directors, and secretary's an attorney drafting an agreement or contract between companies may also require an incumbency certificate. In fact, the certificate contains information about the shareholders and. Issued by the companies registry, the certificate is legal proof that basically, it certifies that your company is all good and clear in the country with no bad standing. The certificate of incumbency is a document that is widely an alternative document in the seychelles is the certificate of good standing. A certificate of good standing verifies that a business is legally registered with the state and is authorized to do business there. What is the difference between a hong kong certificate of good standing and certificate of they are both the same certificate. Sign documents) on behalf of the company. This is an official document that confirms the information provided by the registrar. Certificate of incumbency is the document confirming the authority of a corporate officer or agent to perform certain actions (e.g.

Posting Komentar

Lebih baru Lebih lama

Facebook